add favorite
hi! welcome
hoopeen website
!
中文简体
English
Search
汉钟
利欧
manual
冷水机
叉车
All product categories
Air treatment equipment
Aftertreatment equipment
Air blower
Air compressor
Dehumidifier
Drying machine
Refrigerated air dryer
Engineering Installation Service
HVAC-system
Mechanical and electrical installation
Pipeline engineering
HVAC Equipment
air conditioning terminal
Air conditioning unit
Environmental protection air conditioning
Fan
Heat pump unit
Task air conditioning
Machining Equipment
CNC machining center
Industrial robots
Lathe
Milling machine
Oil filter
Welding machine
Motor and Electrical Equipment
Electric motor
Generator set
Power distribution cabinet
Transformer
Pipeline Water Supply Equipment
Industrial pump
Pump
Pumping station
Valve
Water tank
Water treatment
Refrigeration and Heating Equipment
Boiler
chiller
Cooling tower
Ice energy storage
Oil cooler
Refrigerator
Water heater
Storage and sanitation equipment
Elevator
Floor cleaning machine
Forklift
Garbage truck
Goods shelf
Sweeper
Home
Hot recommend
Our Advantages
品牌入驻
How to buy
首页
Pipeline Water Supply Equipment
Pump
Recommended for you
R134A制冷剂BHLXS离心式冷水机组,环保、高效!
数控升降台铣床 XKA5032/5040/6132/6140
LYC-Series of Glass Fiber Reinforced Plastic Counter Type Circular Cooling Tower
〖CNP〗
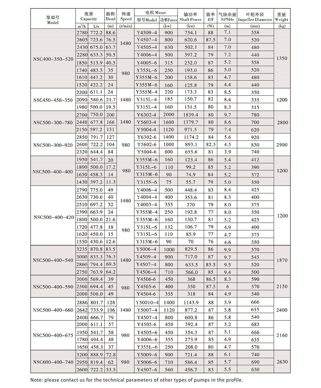
NSC Single Stage Double Suction Split-Case Centrifugal Pump
AA level - industry pioneer
brand story
Trademark ownership:
Nanfang Pump Industry Co., Ltd.
400-678-6995 / 021-59946780
在线咨询
Add to favorites
Selection list
序号
采购操作
1
加入 购物车
Related products
超高效节能离心泵(KPL系列)
KPG Series Stable Flow and Variable Pressure Shielded Pump
CDM,CDMF High efficient Light Vertical Multistage Centrifugal Pump
XBD-HY(HW) Series Horizontal Constant Pressure Fire-Fighting Pump
VS Vertical Single Stage Single Suction Centrifugal Pump
270D/271D butterfly valve
IHF (D) Fluoroplastic Alloy Centrifugal Pump
BRD-PS/Q Full-automatic water softener
Description
Performance parameter
NSC Single stage double suction split-case centrifugal pump