add favorite
hi! welcome
hoopeen website
!
中文简体
English
Search
汉钟
利欧
manual
冷水机
叉车
All product categories
Air treatment equipment
Aftertreatment equipment
Air blower
Air compressor
Dehumidifier
Drying machine
Refrigerated air dryer
Engineering Installation Service
HVAC-system
Mechanical and electrical installation
Pipeline engineering
HVAC Equipment
air conditioning terminal
Air conditioning unit
Environmental protection air conditioning
Fan
Heat pump unit
Task air conditioning
Machining Equipment
CNC machining center
Industrial robots
Lathe
Milling machine
Oil filter
Welding machine
Motor and Electrical Equipment
Electric motor
Generator set
Power distribution cabinet
Transformer
Pipeline Water Supply Equipment
Industrial pump
Pump
Pumping station
Valve
Water tank
Water treatment
Refrigeration and Heating Equipment
Boiler
chiller
Cooling tower
Ice energy storage
Oil cooler
Refrigerator
Water heater
Storage and sanitation equipment
Elevator
Floor cleaning machine
Forklift
Garbage truck
Goods shelf
Sweeper
Home
Hot recommend
Our Advantages
品牌入驻
How to buy
首页
Pipeline Water Supply Equipment
Water treatment
Recommended for you
High-Density Storage Rack--Radio Shuttle Rack/Push-Back Rack/Drive-in Rack
CDM,CDMF High efficient Light Vertical Multistage Centrifugal Pump
BTLS系列水冷螺杆式冷水机,经济、可靠!
〖Keper〗
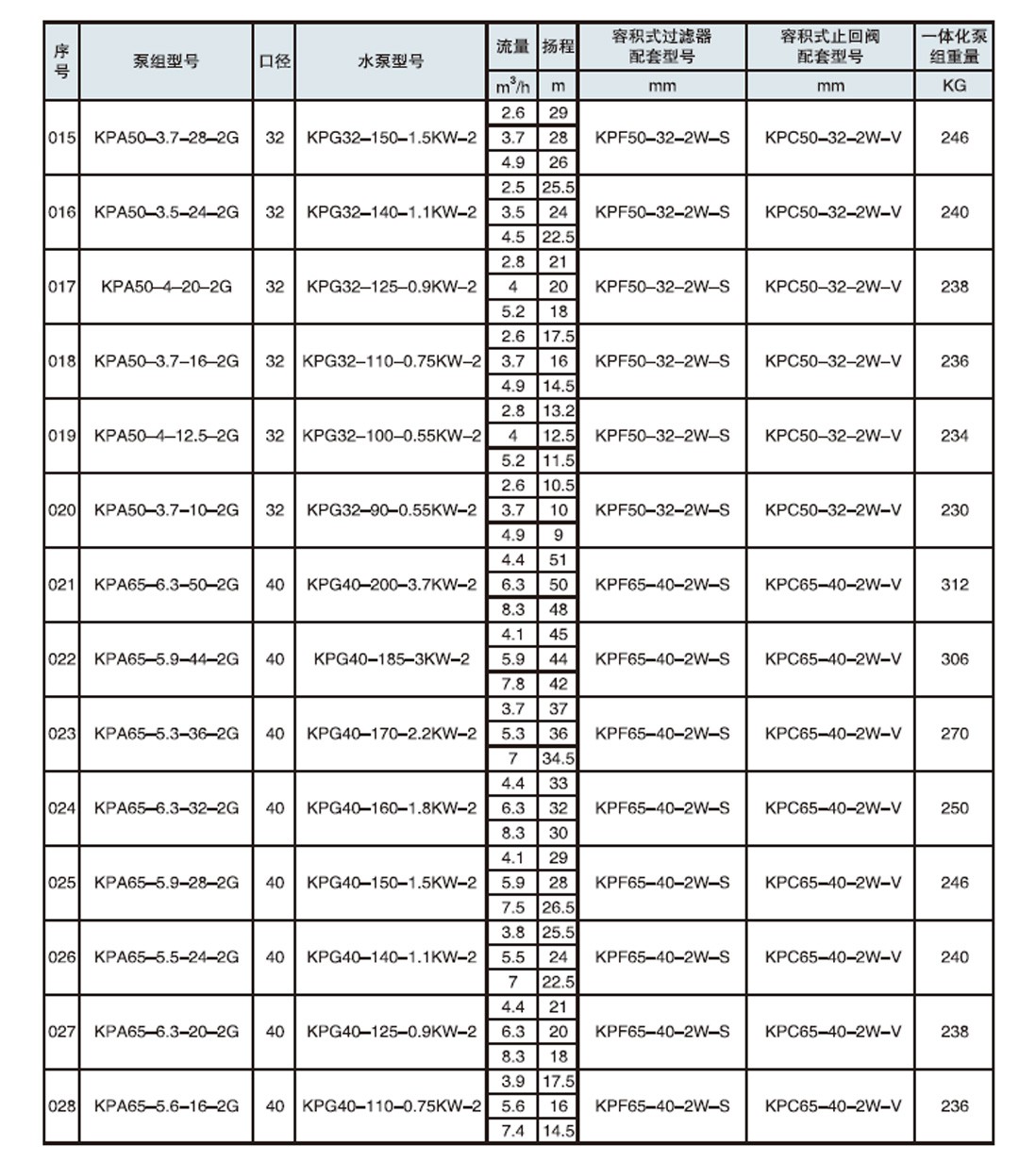
Low-noise, shielded integrated transmission and distribution pumping set
A level - strong
brand story
Trademark ownership:
江苏开普尔实业有限公司
400-678-6995 / 021-59946780
在线咨询
Add to favorites
Selection list
序号
采购操作
1
加入 购物车
Related products
BRD high efficiency backwash filter
BRD UV sterilizer
BRD condenser rubber ball cleaning device
BRD Shallow sand filter
BRD automatic dosing system
JGD rubber flexible joint / VSSJA-2(B2F)double flange limit expansion joint
KPA integrated transmission and distribution pumping set ( horizontal)
DN Diaphragm valve
Description
Performance parameter
机组尺寸